• Предмет: Алгебра
  • Автор: FeoNastja
  • Вопрос задан 10 лет назад

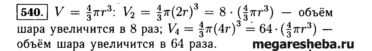
Обьясните как получился ответ. Са-всеми обьяснениями.

Приложения:

Ответа на этот вопрос пока нет. Попробуйте найти его через форму поиска.

Вас заинтересует