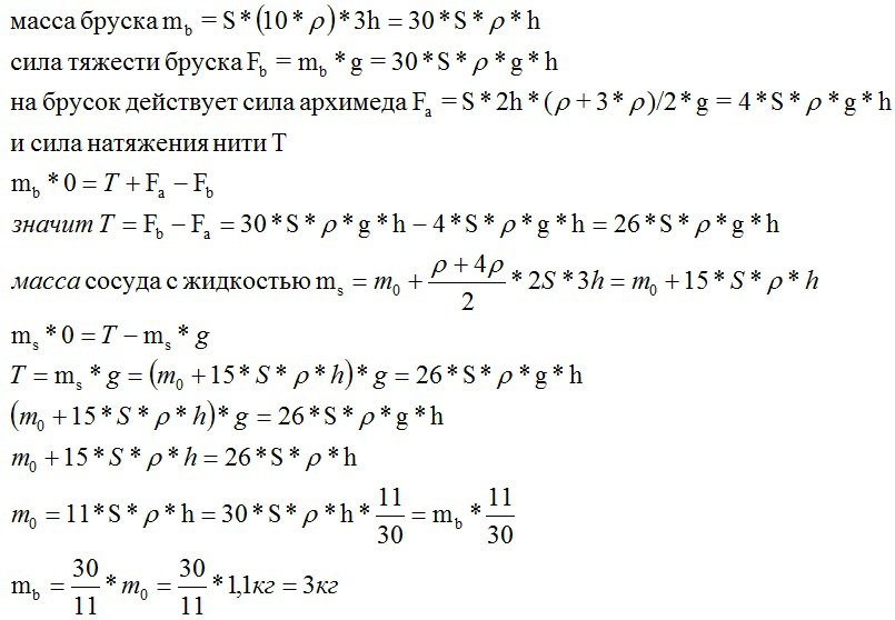
Задача 10. Неоднородная жидкость К цилиндрическому тонкостенному сосуду, наполненному неоднородной жидкостью, прикреплена невесомая нить, перекинутая через неподвижный блок. Ко второму концу нити прикреплён цилиндрический однородный брусок высотой 3h и плотностью 10ρ. В положении равновесия брусок погружён в жидкость на глубину 2h, а высота столба жидкости в сосуде составляет 3h, при этом брусок и сосуд располагаются вертикально. Чему равна масса бруска, если масса пустого сосуда составляет m=1,1 кг, а плотность жидкости увеличивается с глубиной по линейному закону от значения ρ у её поверхности до значения 4ρ на дне сосуда? Ответ выразить в кг, округлив до десятых. У сосуда площадь поперечного сечения в два раза больше, чем у бруска. Массой блока и трением в его оси пренебречь.
Ответы
Ответ дал:
0
смотри решение во вложении
Приложения:


Ответ дал:
0
к 3, там еще есть, но думаю, если объясните, то я пойму дальше)
Ответ дал:
0
какой ответ?
Ответ дал:
0
там где делить на 2 , там вычисляю среднюю плотность жидкости, так как сила архимеда зависит от плотности жидкости а плотность изменяется, поэтому беру среднюю
Ответ дал:
0
просто ответ плиз скажт
Ответ дал:
0
Ответ во вложении - 3?
Вас заинтересует
2 года назад
2 года назад
7 лет назад
10 лет назад
10 лет назад
10 лет назад