Ответы
Ответ дал:
0
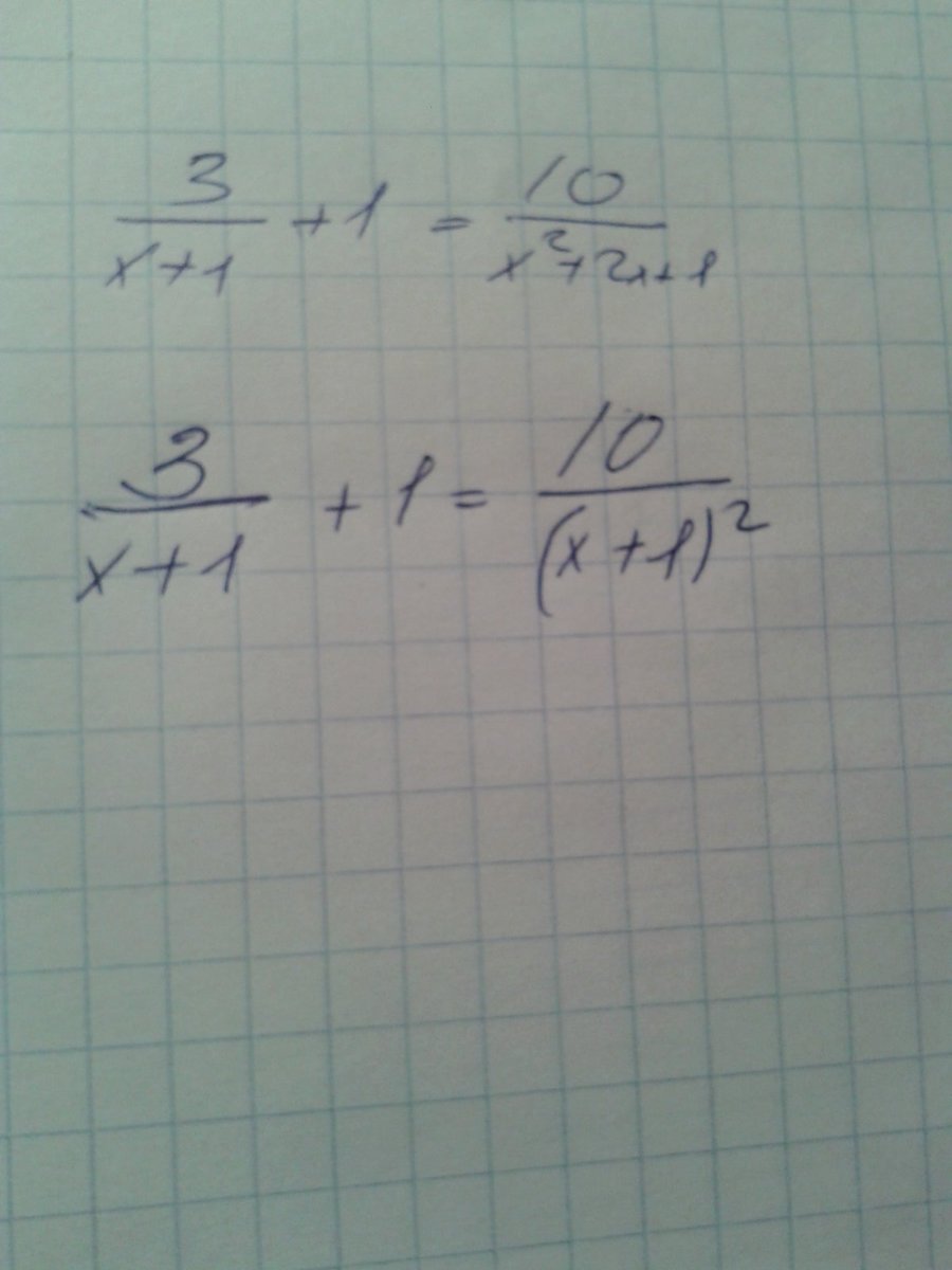
Запомнив, что х не равен -1, умножим все на (х+1)^2
3x+3+x^2+2x+1=10
x^2+5x+6,25=12,25
(x+2,5)^2=3,5^2
Два решения : х=1 или x=-6
3x+3+x^2+2x+1=10
x^2+5x+6,25=12,25
(x+2,5)^2=3,5^2
Два решения : х=1 или x=-6
Вас заинтересует
8 лет назад
8 лет назад
10 лет назад
10 лет назад
11 лет назад