• Предмет: Математика
  • Автор: ROCKER27
  • Вопрос задан 10 лет назад

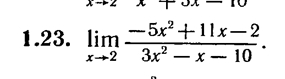
Найти указанные пределы

Приложения:

Ответа на этот вопрос пока нет. Попробуйте найти его через форму поиска.

Вас заинтересует