Ответы
Ответ дал:
0
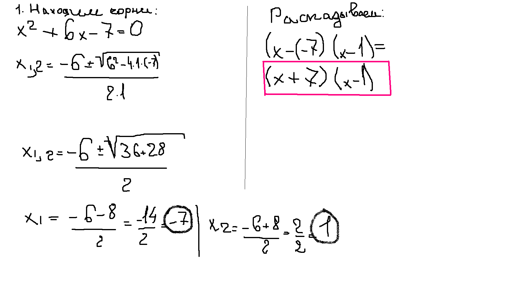
по дискриминанту:
D=b²-4ac=36+28=64
x₁,₂=-b±√D/2a=-6±8/2
x₁=1
x₂=-7
ответ:1;-7
Ответ дал:
0
Вложениеееееееееееееееееееееееееее!!!
Исли перемножить скобки,rоторые у меня получились получится: x^2-x+7x-7= x^2+6x-7, значит решено верно!
Спасибо за лучшее! :)
Приложения:

Вас заинтересует
2 года назад
2 года назад
8 лет назад
8 лет назад
10 лет назад
10 лет назад