• Предмет: Алгебра
  • Автор: Васянд
  • Вопрос задан 11 лет назад

помогите решить!!

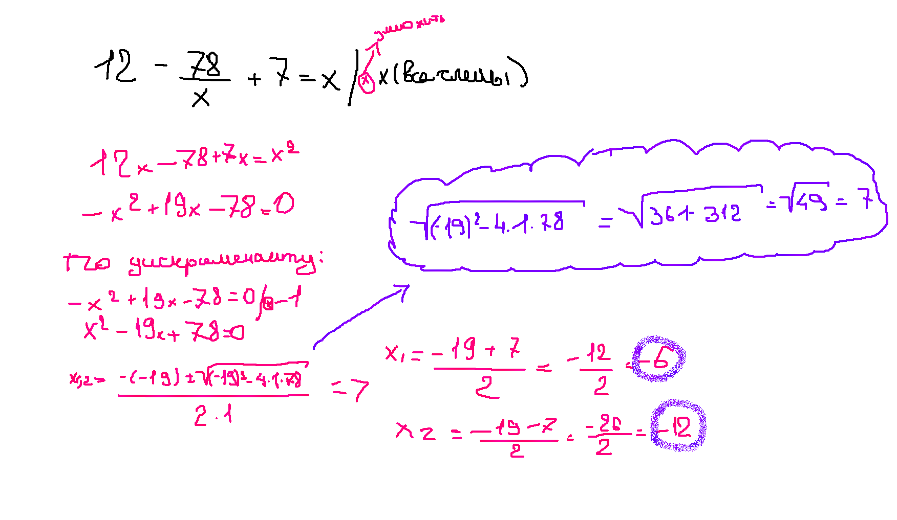
12-78/x+7=x

 

Ответы

Ответ дал: Kolbasohka
0

Вложение......................................

 

Приложения:
Вас заинтересует