• Предмет: Геометрия
  • Автор: Аноним
  • Вопрос задан 10 лет назад

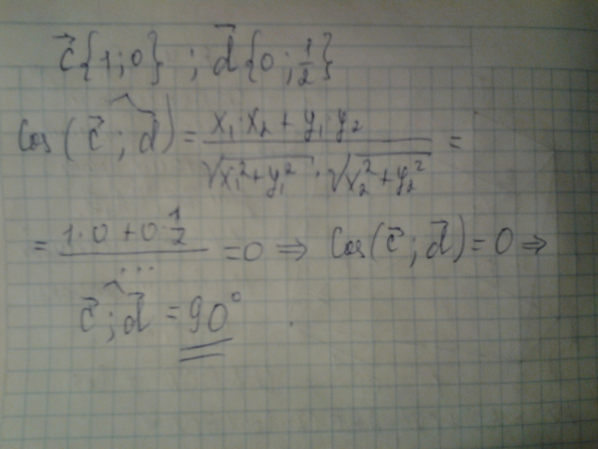
Знайдіть косинус кута між векторами

Приложения:

Ответы

Ответ дал: okneret
0
Применена формула косинуса угла между векторами через их координаты
Приложения:
Ответ дал: Аноним
0
кинь ссылку вк. мне нужно спросить у тебя кое че. я тебе скину фотку как я решила. у меня не тк немного.
Вас заинтересует