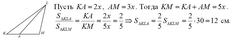
На стороне КМ треугольника KLM, площадь которого равна 30 см (кв), отмечена точка А так, что КА:АМ = 2:3. Найдите площадь треугольника KLA.
с инета не копируйте пж
если ответ будет правильным, то я лайкну ваши 5 задач+отмечу ка лучший ответ
Ответы
Ответ дал:
0
Решение во вложенном файле.
Приложения:

Ответ дал:
0
с объяснением можно
Ответ дал:
0
и ещё один вопрос от куда решение ответьте честно пж
Вас заинтересует
2 года назад
2 года назад
7 лет назад
7 лет назад
10 лет назад
10 лет назад