Ответы
Ответ дал:
0
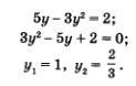
1) Выразим х через у из первого уравнения системы: х = 5 - 3у.
2)Подставим полученное выражение вместо х во второе уравнение системы: (5 - 3у) у — 2.
3)Решим полученное уравнение:
2)Подставим полученное выражение вместо х во второе уравнение системы: (5 - 3у) у — 2.
3)Решим полученное уравнение:
Приложения:
Ответ дал:
0
X=Y+1
{
(Y+1)^2+y^2-5=0
X=y+1
{
Y^2+2y+1+y^2-5=0
X=y+1
{
2y^2+2y-4=0 (1)
1) D=b^2-4ac
D=4+32=36
Корень кв. Из D=6
X=1 ; x=-2
X=y+1
{
|Y=1
|Y=-2
Y=1, x=2;
Y=-2, x=-1
Готово
{
(Y+1)^2+y^2-5=0
X=y+1
{
Y^2+2y+1+y^2-5=0
X=y+1
{
2y^2+2y-4=0 (1)
1) D=b^2-4ac
D=4+32=36
Корень кв. Из D=6
X=1 ; x=-2
X=y+1
{
|Y=1
|Y=-2
Y=1, x=2;
Y=-2, x=-1
Готово
Приложения:
Вас заинтересует
2 года назад
2 года назад
8 лет назад
10 лет назад
10 лет назад
10 лет назад