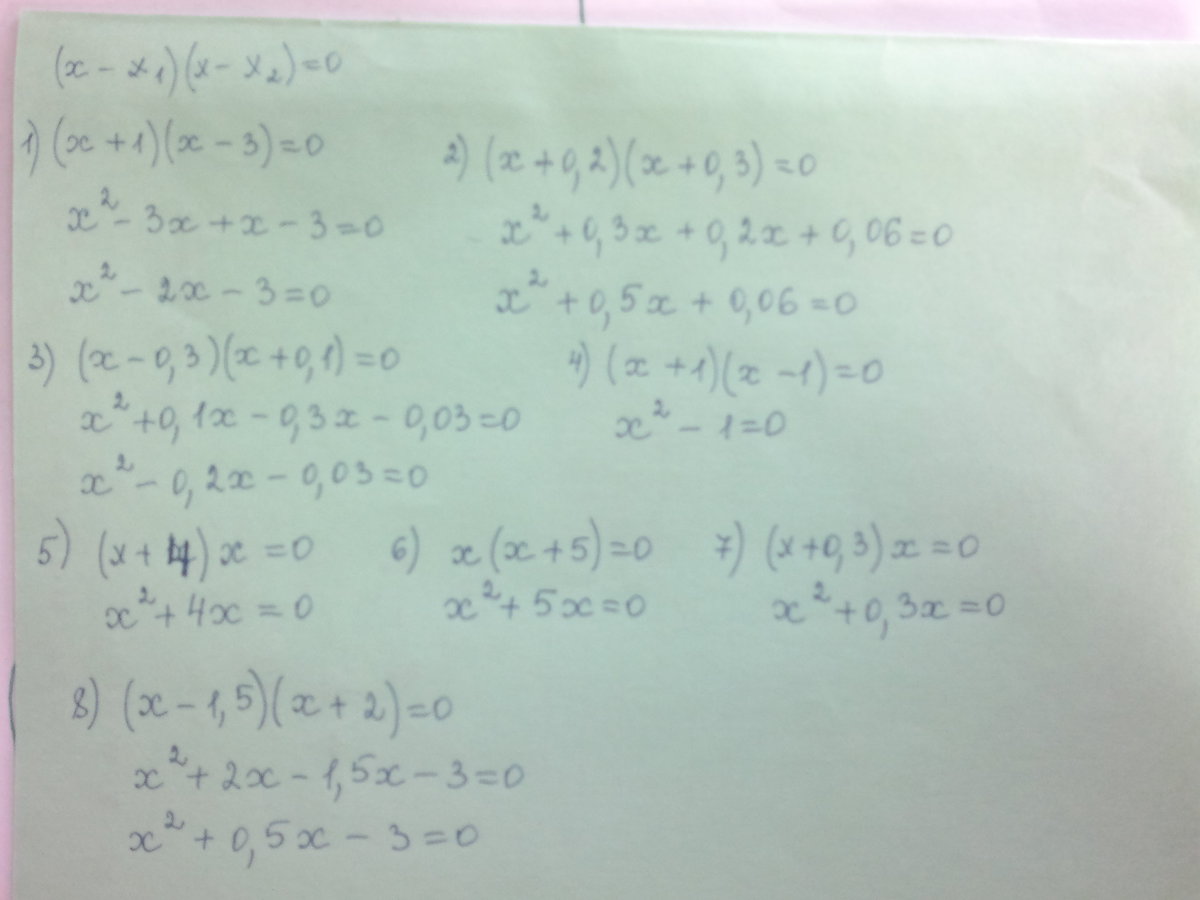
Составьте квадратное уравнение по его корням:
1) -1;3
2)-0.2;-0.3
3) 0.3; -0.1
4)-1;1
5)-4;0
6)0;-5
7)-0.3; 0
8)1.5;-2
Помогите пожалуйста очень срочно
Ответы
Ответ дал:
0
пишите, если что не так
Приложения:

Вас заинтересует
2 года назад
2 года назад
7 лет назад
7 лет назад
10 лет назад
10 лет назад
10 лет назад