Ответы
Ответ дал:
0
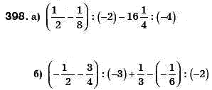
1). 12-18 = =48-18 = 38
2). 38:(-2) =38*(-12) = -316
3). 654:(-4) = 654*(-14) = -6516
4). -316-(-65160 =-316+6516 = 6216 = 3 1416 = 3 78
1). -12-34 = -24-34 = -54
2). -54:(-3) = -54*(-13) = 512
3). (-16):(-2) = -16*(-12) = 112
4). 512+13 = 512+412 = 912 = 34
5). 34-112 = 912-112 = 812 = 23
2). 38:(-2) =38*(-12) = -316
3). 654:(-4) = 654*(-14) = -6516
4). -316-(-65160 =-316+6516 = 6216 = 3 1416 = 3 78
1). -12-34 = -24-34 = -54
2). -54:(-3) = -54*(-13) = 512
3). (-16):(-2) = -16*(-12) = 112
4). 512+13 = 512+412 = 912 = 34
5). 34-112 = 912-112 = 812 = 23
Вас заинтересует
3 года назад
3 года назад
8 лет назад
8 лет назад
10 лет назад
10 лет назад
11 лет назад