• Предмет: Математика
  • Автор: kity95371
  • Вопрос задан 10 лет назад

Помогите,Пожалуйста!? Это линейное уравнение

Приложения:

Ответы

Ответ дал: SolRu
0
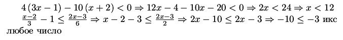
Решение смотрите в вложении
Приложения:
Ответ дал: kity95371
0
Большое спасибо!
Ответ дал: SolRu
0
нзч
Вас заинтересует