• Предмет: Алгебра
  • Автор: Аноним
  • Вопрос задан 10 лет назад

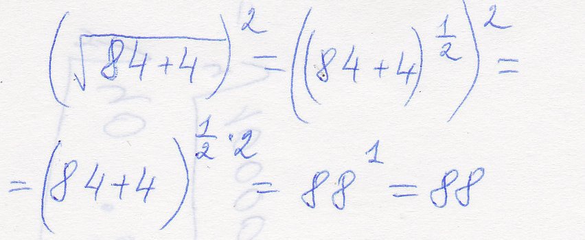
Напишите пж понятно решение примера ( квадратный корень из 84+4) в квадрате...

Ответы

Ответ дал: samotugaa
0
(Корень из (84+4))^2= Корень из (84+4)×Корень из (84+4)=84+4=88
Ответ дал: Olga1vanovna
0
подробное решение во вложении. не забудь:
При возведении степени в степень основание остается прежним, а показатели перемножаются! Удачи!
Приложения:
Ответ дал: Аноним
0
Спасибо,смогу обращаться если что?
Вас заинтересует