Ответы
Ответ дал:
0
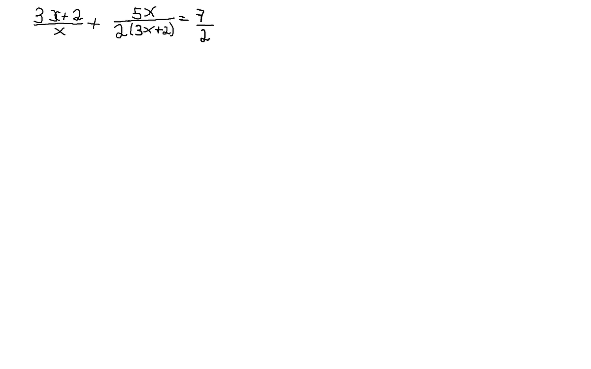
обозначим
домножим на 2y
2y²+5=7y
2y²-7y+5=0
D=7²-4*2*5=49-40=9
y₁=(7-3)/4=1 y₂=(7+3)/4=10/4=5/2
1)
3x₁+2=x₁
2x₁=-2
x₁=-1
2)
2(3x₂+2)=5x₂
6x₂+4=5x₂
x₂=-4
Ответ: х=-1 и х=-4
Ответ дал:
0
вначале надо написать х≠0и х≠-2/3
Приложения:

Вас заинтересует
2 года назад
2 года назад
7 лет назад
10 лет назад
10 лет назад
10 лет назад
10 лет назад