• Предмет: Алгебра
  • Автор: Suga939
  • Вопрос задан 10 лет назад

30 баллов.
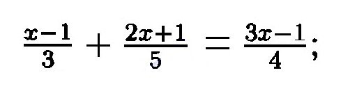
Решите уравнение.

Приложения:

Ответы

Ответ дал: TheFrime
0
Домножаем на 60, выходит
20х-20+24х+12=45х-15
44х-8=45х-15
х=7
Ответ дал: TheFrime
0
Исправил ошибку :)
Вас заинтересует