• Предмет: Алгебра
  • Автор: levinavika2001
  • Вопрос задан 10 лет назад

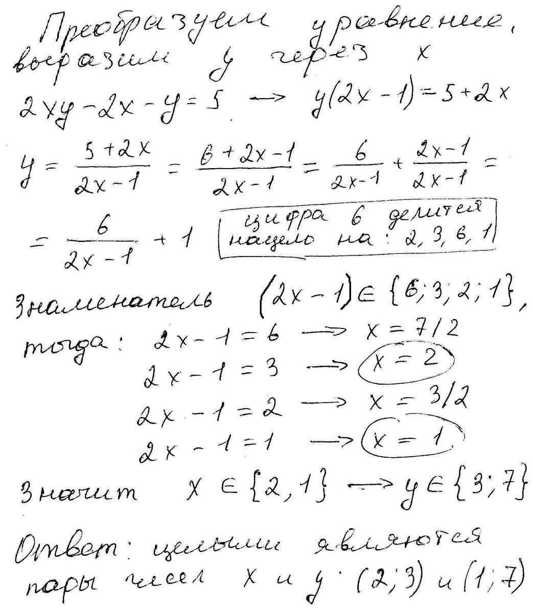
решите в целых числах уравнение 2ху-2х-у=5 (не методом подбора!)

Ответы

Ответ дал: Неуловимыйтип
0
Ответ в картинке. Если что — спрашивай
Приложения:
Вас заинтересует