• Предмет: Алгебра
  • Автор: beautyful1
  • Вопрос задан 10 лет назад

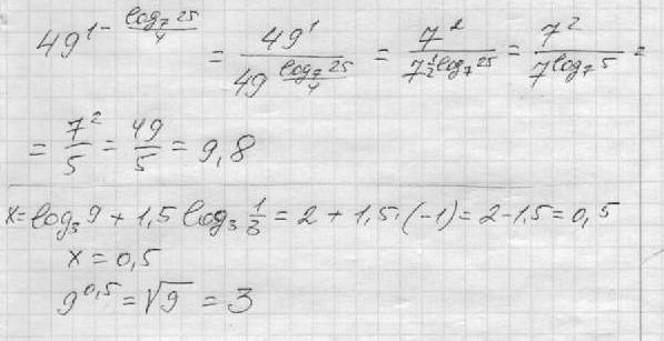
14 и 16 помогите пожалуйста!!!

Приложения:

Ответы

Ответ дал: математик2011
0
Удачи!!!!!!!!!!!!!!!!!!!!!!!!
Приложения:
Ответ дал: beautyful1
0
Спасибо большое)))))
Вас заинтересует