Помогите пожалуйста с примерами.
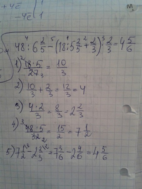
1) 48: 6 2/5 - (18: 5 2/5 + 2/3) * 2/3
2) 1 1/22 * 3 2/3 - (3 5/6 : 3 2/7 + 2 5/6) : 1 2/3
Ответы
Ответ дал:
0
Это первый номер. Если я правильно условие поняла. По действиям. Второй уже не могу. Глаза закрываются и могу ошибиться, поэтому только один
Приложения:
Вас заинтересует
3 года назад
3 года назад
8 лет назад
8 лет назад
10 лет назад
10 лет назад
11 лет назад