Ответы
Ответ дал:
0
смотри вложение)))))))))))))))))))))))))
Приложения:

Ответ дал:
0
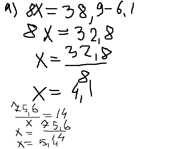
1)8 x=38.9-6.1
8 x=32.8
x=4,1
2)x =75,6/14
x=5,4
Приложения:

Вас заинтересует
2 года назад
2 года назад
8 лет назад
8 лет назад
10 лет назад
10 лет назад