Ответы
Ответ дал:
0
это 8
4 не знаю как решать
4 не знаю как решать
Приложения:

Ответ дал:
0
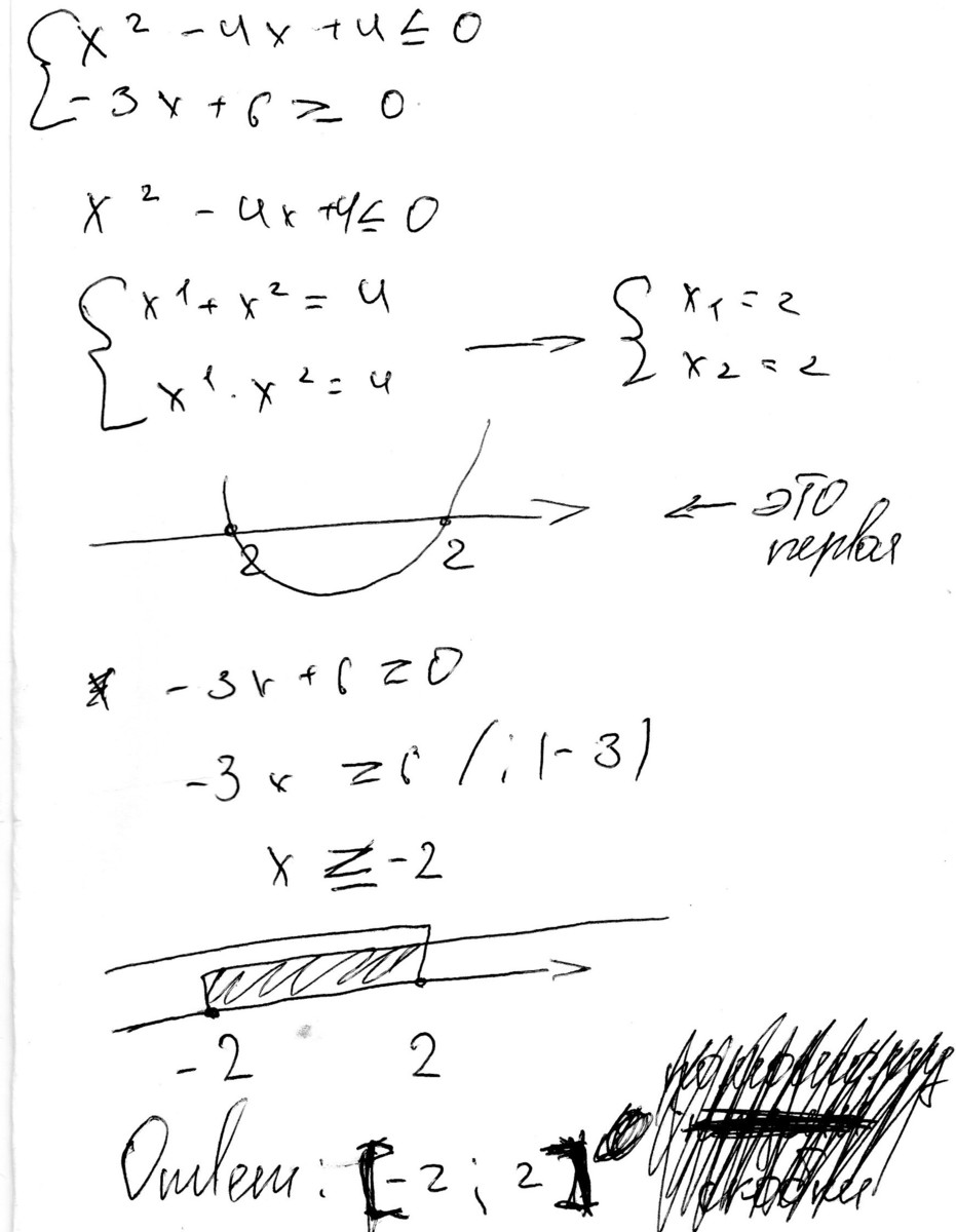
ой там 2 получается , там во втором уравнение ошибка , и в итоге парабола получается с 2
Вас заинтересует
2 года назад
2 года назад
7 лет назад
7 лет назад
10 лет назад
10 лет назад