• Предмет: Алгебра
  • Автор: Janyabelieber
  • Вопрос задан 10 лет назад

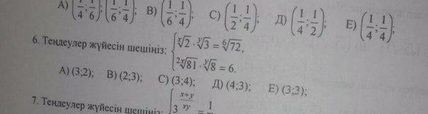
как решить систему уравнении?

Приложения:

Ответы

Ответ дал: mefody66
0
 left { {{2^{1/x}*3^{1/y}=72^{1/6}} atop {81^{1/2x}*8^{1/x}=6}} right.
 left { {{2^{1/x}*3^{1/y}=(2^3)^{1/6}*(3^2)^{1/6}=2^{1/2}*3^{1/3}} atop {3^{2/x}*2^{3/x}=3*2}} right.
x = 2; y = 3
Других ответов нет
Ответ дал: mefody66
0
Извиняюсь, опечатка. Во втором уравнении 8^(1/y) = 2^(3/y)
Вас заинтересует