Ответы
Ответ дал:
0
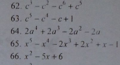
62) c^2(c-1)-c^5(c-1)=(c^2-c^5)(c-1)=c^2(1-c^3)(c-1)=c^2(1-c)(1-c+c^2)(c-1)
63) c^4(c-1)-(c-1)=(c-1)(c^4-1)=(c-1)(c^2-1)(c^2+1)=(c-1)(c-1)(c+1)(c^2+1)
64) 2a^3(a+1)-2a(a+1)=2a(a+1)(a^2-1)=2a(a+1)(a-1)(a+1)
65) x^4(x-1)-2x^2(x-1)+x-1=(x-1)(x^4-2x^2+1)=(x-1)(x^2-1)^2=(x-1)(x-1)(x+1)(x-1)(x+1)
66) По теореме Виета (x-2)(x-3)
63) c^4(c-1)-(c-1)=(c-1)(c^4-1)=(c-1)(c^2-1)(c^2+1)=(c-1)(c-1)(c+1)(c^2+1)
64) 2a^3(a+1)-2a(a+1)=2a(a+1)(a^2-1)=2a(a+1)(a-1)(a+1)
65) x^4(x-1)-2x^2(x-1)+x-1=(x-1)(x^4-2x^2+1)=(x-1)(x^2-1)^2=(x-1)(x-1)(x+1)(x-1)(x+1)
66) По теореме Виета (x-2)(x-3)
Вас заинтересует
3 года назад
3 года назад
8 лет назад
8 лет назад
10 лет назад
10 лет назад
11 лет назад