Ответы
Ответ дал:
0
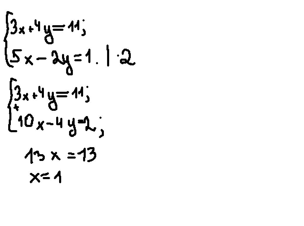
3x+4y=11
5x-2y=1
3x+4y=11
10x-4y=2
13x=13
x=1
Ответ дал:
0
Решение во вложении.Надеюсь будет понятно.
Приложения:

Вас заинтересует
2 года назад
8 лет назад
10 лет назад
10 лет назад