• Предмет: Алгебра
  • Автор: 314453
  • Вопрос задан 10 лет назад

Помогите пожалуйста!

Приложения:

Ответы

Ответ дал: akes
0
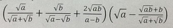
( frac{ sqrt{a}*( sqrt{a} - sqrt{b} ) }{( sqrt{a} + sqrt{b} )( sqrt{a} - sqrt{b} )} + frac{ sqrt{b}*( sqrt{a} + sqrt{b} ) }{( sqrt{a} - sqrt{b} )( sqrt{a} + sqrt{b} )} +  frac{2 sqrt{ab} }{a-b}  ) ( frac{ sqrt{a}*( sqrt{a} + sqrt{b} )-  sqrt{ab}-b   }{ sqrt{a}  +sqrt{b} } )

( frac{a- sqrt{ab} + sqrt{ab} +b+2 sqrt{ab}  }{a-b} )( frac{a+ sqrt{ab}- sqrt{ab} -b }{ sqrt{a} +  sqrt{b} } ) \ ( frac{a+2 sqrt{ab}+b }{a-b} )( frac{a-b}{ sqrt{a} + sqrt{b} } )

( frac{( sqrt{a}+  sqrt{b} )^{2}}{a-b} )*( frac{a-b}{ sqrt{a} + sqrt{b} } ) =  sqrt{a} +  sqrt{b}
Вас заинтересует