Ответы
Ответ дал:
0
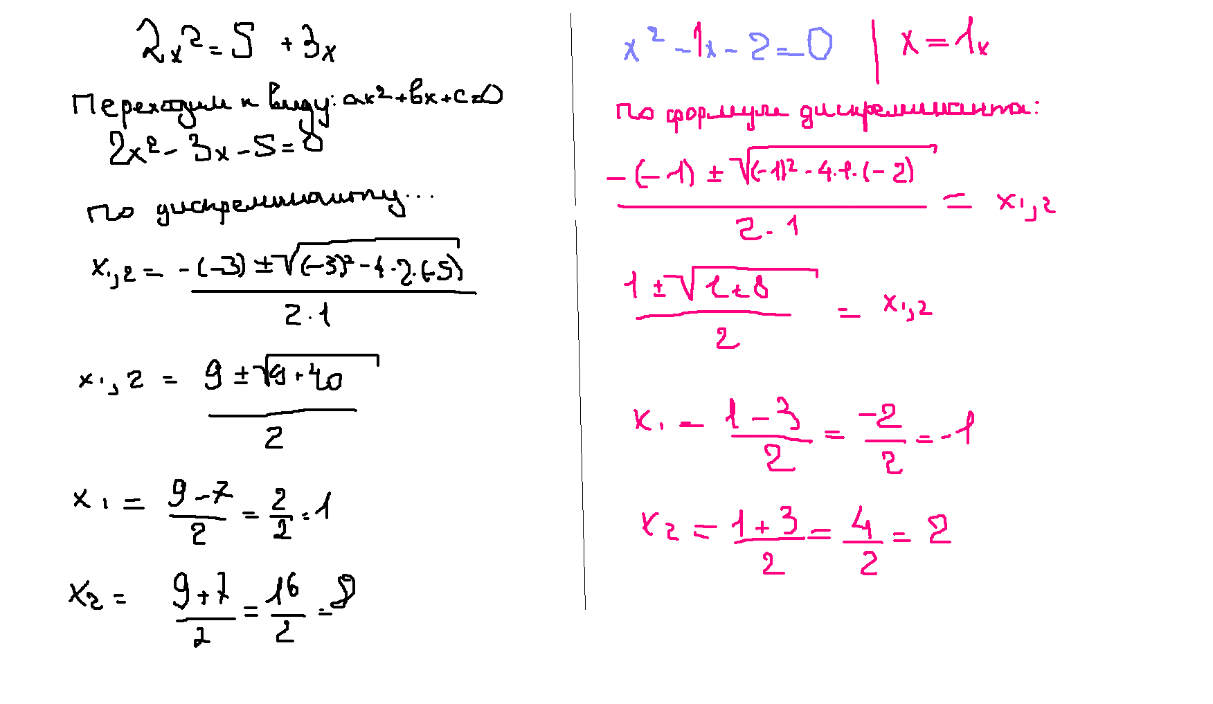
1)2х²=5+3х
2х²-3х-5=0
Д=9+40=49
Ответ:
2)х²-х-2=0
Д=1+8=9
Ответ:
Ответ дал:
0
Вложение!!!!!!!!!!!!!!!!!!
Приложения:

Вас заинтересует
2 года назад
8 лет назад
8 лет назад
10 лет назад
10 лет назад
10 лет назад
10 лет назад