Ответы
Ответ дал:
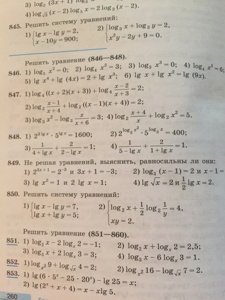
0
1
x>0,x≠1
log(2)x-2/log(2)x+1=0
log(2)x=a
a²+a-2=0
a1+a2=-1 U a1*a2=-2
a1=-2⇒log(2)x=-2⇒x=0,25
a2=1⇒log(2)x=1⇒x=2
4
x>0,x≠1
log(3)x-6/log(2)x-1=0
log(3)x=a
a²-a-6=0
a1+a2=1 U a1*a2=-6
a1=-2⇒log(3)x=-2⇒x=1/9
a2=3⇒log(3)x=3⇒x=27
x>0,x≠1
log(2)x-2/log(2)x+1=0
log(2)x=a
a²+a-2=0
a1+a2=-1 U a1*a2=-2
a1=-2⇒log(2)x=-2⇒x=0,25
a2=1⇒log(2)x=1⇒x=2
4
x>0,x≠1
log(3)x-6/log(2)x-1=0
log(3)x=a
a²-a-6=0
a1+a2=1 U a1*a2=-6
a1=-2⇒log(3)x=-2⇒x=1/9
a2=3⇒log(3)x=3⇒x=27
Вас заинтересует
3 года назад
8 лет назад
8 лет назад
10 лет назад
10 лет назад