Ответы
Ответ дал:
0
1
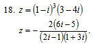
z=(1-i)³(3-4i)=(1-3i-3+i)(3-4i)=(-2-2i)(3-4i)=-6+8i-6i-8=-14+2i
2
z=-2(6i-5)/(2i-1)(1+3i)=-2(6i-5)/(2i-6-4-3i)=-2/(6i-5)/(-7-i)=5(6i-5)/(7+i)=
=2(6i-5)(7-i)/(7+i)(7-i)=2(42i+6-35+5i)/(49+1)=(-29+47i)/25=
=-1,16+1,88i
z=(1-i)³(3-4i)=(1-3i-3+i)(3-4i)=(-2-2i)(3-4i)=-6+8i-6i-8=-14+2i
2
z=-2(6i-5)/(2i-1)(1+3i)=-2(6i-5)/(2i-6-4-3i)=-2/(6i-5)/(-7-i)=5(6i-5)/(7+i)=
=2(6i-5)(7-i)/(7+i)(7-i)=2(42i+6-35+5i)/(49+1)=(-29+47i)/25=
=-1,16+1,88i
Вас заинтересует
3 года назад
3 года назад
8 лет назад
8 лет назад
10 лет назад
10 лет назад
11 лет назад