• Предмет: Алгебра
  • Автор: hirvihirvi
  • Вопрос задан 10 лет назад

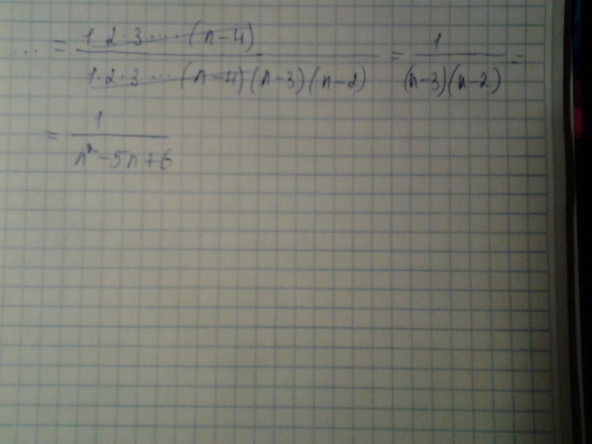
Упростить выражение
 frac{(n-4)!}{(n-2)!}

Ответы

Ответ дал: okneret
0
Использовано определение факториала
Приложения:
Вас заинтересует