• Предмет: Алгебра
  • Автор: InquisitorMan
  • Вопрос задан 10 лет назад

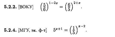
Помогите пожалуйста. Очень надо!

Приложения:

Ответы

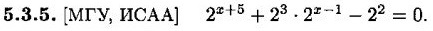
Ответ дал: ВладимирБ
0
Решение смотри в приложении
Приложения:
Вас заинтересует