• Предмет: Алгебра
  • Автор: BushAndrey
  • Вопрос задан 10 лет назад

Ребят, помогите пожалуйста!
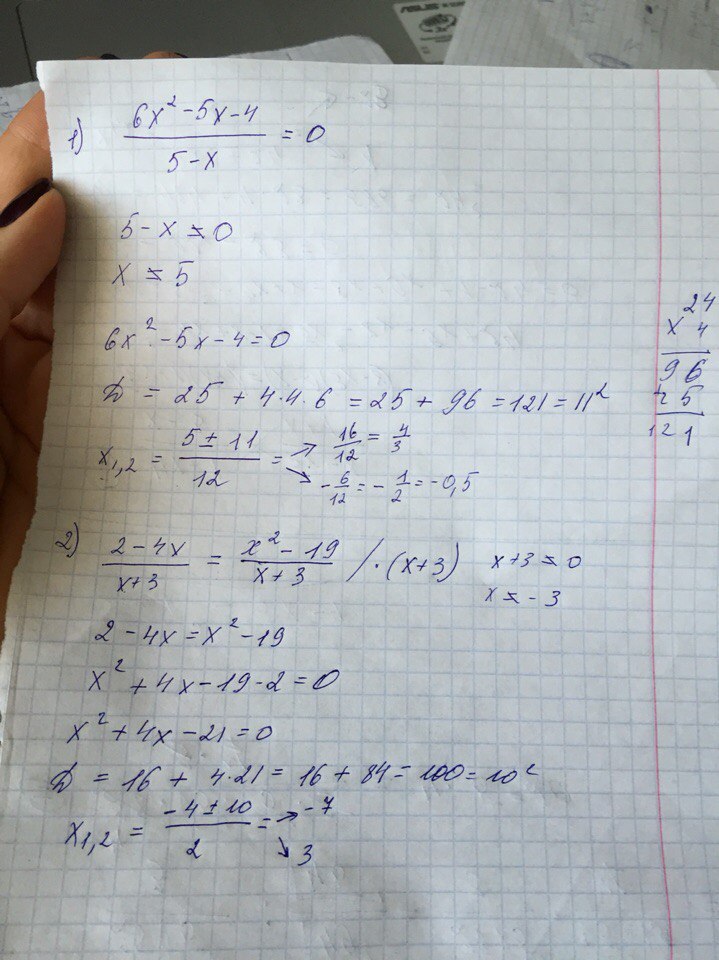
1) Найдите корни уравнения 6x^2-5x-4/5-x=0 ( там где / - дробь )
2) Найдите значение переменной x, при которых значения данных дробей равны:
2-4x/x+3 и x^2-19/x+3 ( там где / - дробь )
3) Решите уравнение: 4x+1/x-3=3x-8/x+1
Буду очень рад!!!

Ответы

Ответ дал: inessa2702
0
вот держи, всё сводится к решению обычных квадратных уравнений
Приложения:
Ответ дал: BushAndrey
0
Спасибо!
Вас заинтересует