• Предмет: Алгебра
  • Автор: Аноним
  • Вопрос задан 10 лет назад

ПОМОГИТЕ РЕШИТЬ ПЛИИИЗ

Приложения:

Ответы

Ответ дал: vivi1209
0
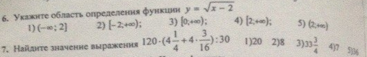
6 номер 1) т.к. у нас есть квадратный корень.
7 номер во вложении
Приложения:
Вас заинтересует