• Предмет: Алгебра
  • Автор: rimmma
  • Вопрос задан 10 лет назад

Помогите плиз задание 453

Приложения:

Ответы

Ответ дал: SolRu
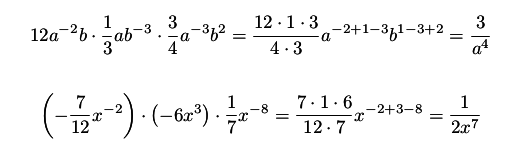
0
Решение смотрите в вложении
Приложения:
Ответ дал: Аноним
0
да правильно я одну забыла.а так правильно дама???!!!
Ответ дал: Аноним
0
даааа?!
Вас заинтересует