• Предмет: Алгебра
  • Автор: sabina21003
  • Вопрос задан 10 лет назад

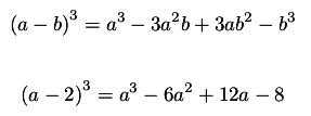
(a-2)^3 помогите пожалуйста

Ответы

Ответ дал: SolRu
0
Решение смотрите в вложении
Приложения:
Ответ дал: Asy02022000
0
(a-2)^3=a^3-6a^2+12a-8
Приложения:
Вас заинтересует