• Предмет: Алгебра
  • Автор: Эля5
  • Вопрос задан 11 лет назад

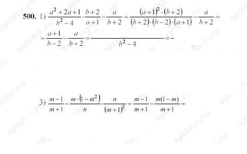
помогите до решить первое и третье

Приложения:

Ответы

Ответ дал: LFP
0

1) числитель: ...= (a+1)(b+2) - a(b-2) = ab + 2a + b + 2 - ab + 2a = 4a + b + 2

результат: (4a+b+2) / (b^2-4)

3) общий знаменатель m+1

числитель: m-1 - m(1-m) = m-1 -m + m^2 = m^2 - 1

результат: (m-1)(m+1) / (m+1) = m-1

Вас заинтересует