Ответы
Ответ дал:
0
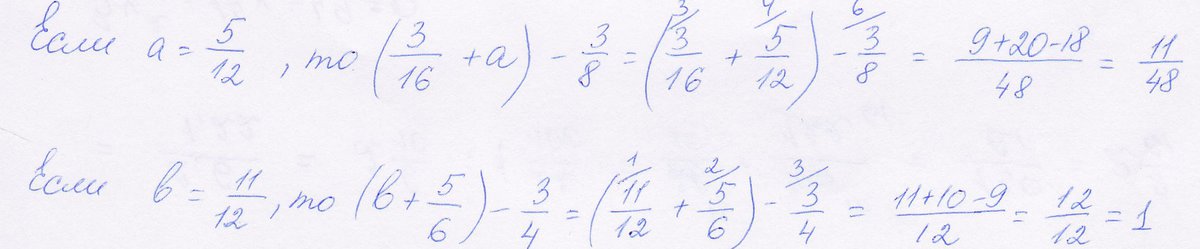
подробное решение внутри файла
Приложения:

Вас заинтересует
2 года назад
7 лет назад
7 лет назад
10 лет назад
10 лет назад
10 лет назад