• Предмет: Алгебра
  • Автор: Аноним
  • Вопрос задан 10 лет назад

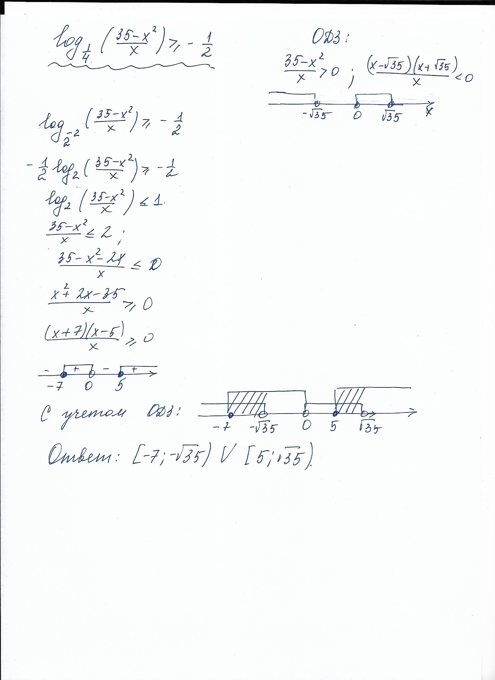
Помогите решить!
log1/4 35-x^2/x больше либо равно -1/2

Ответы

Ответ дал: justcall
0
решение во вложении.
Приложения:
Вас заинтересует