• Предмет: Математика
  • Автор: алинка1234612323222
  • Вопрос задан 10 лет назад

помогите................

Приложения:

Ответы

Ответ дал: helenaal
0
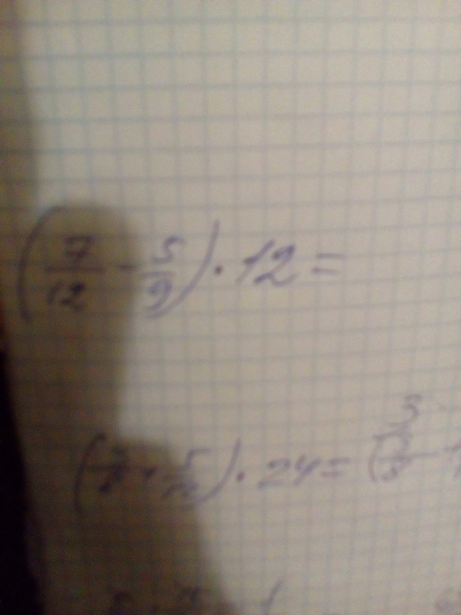
(7/12 - 5/9) *12 = применим переместительное свойство умножения = (7/12)*12 - (5/9)*12 =  (7*12)/12 - (5*12)/9 = сокращаем первую дробь на 12, а вторую на 3 = 7 - (5*4)/3 =  представим 7 целых в виде дроби со знаменателем 3 = 21/3 - 20/3 = вычтем = (21-20)/3 = 1/3
Ответ: (7/12 - 5/9)*12 = 1/3
Вас заинтересует