• Предмет: Алгебра
  • Автор: Daska228
  • Вопрос задан 10 лет назад

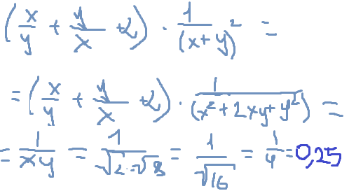
(x/y+y/x+2)*1/(x+y)^2
при x=sqrt2, y= sqrt8

Ответы

Ответ дал: nikyl9niki
0
                            ВОТ СМОТРИ ВЛОЖЕНИЕ
Приложения:
Вас заинтересует