• Предмет: Алгебра
  • Автор: 07777
  • Вопрос задан 11 лет назад

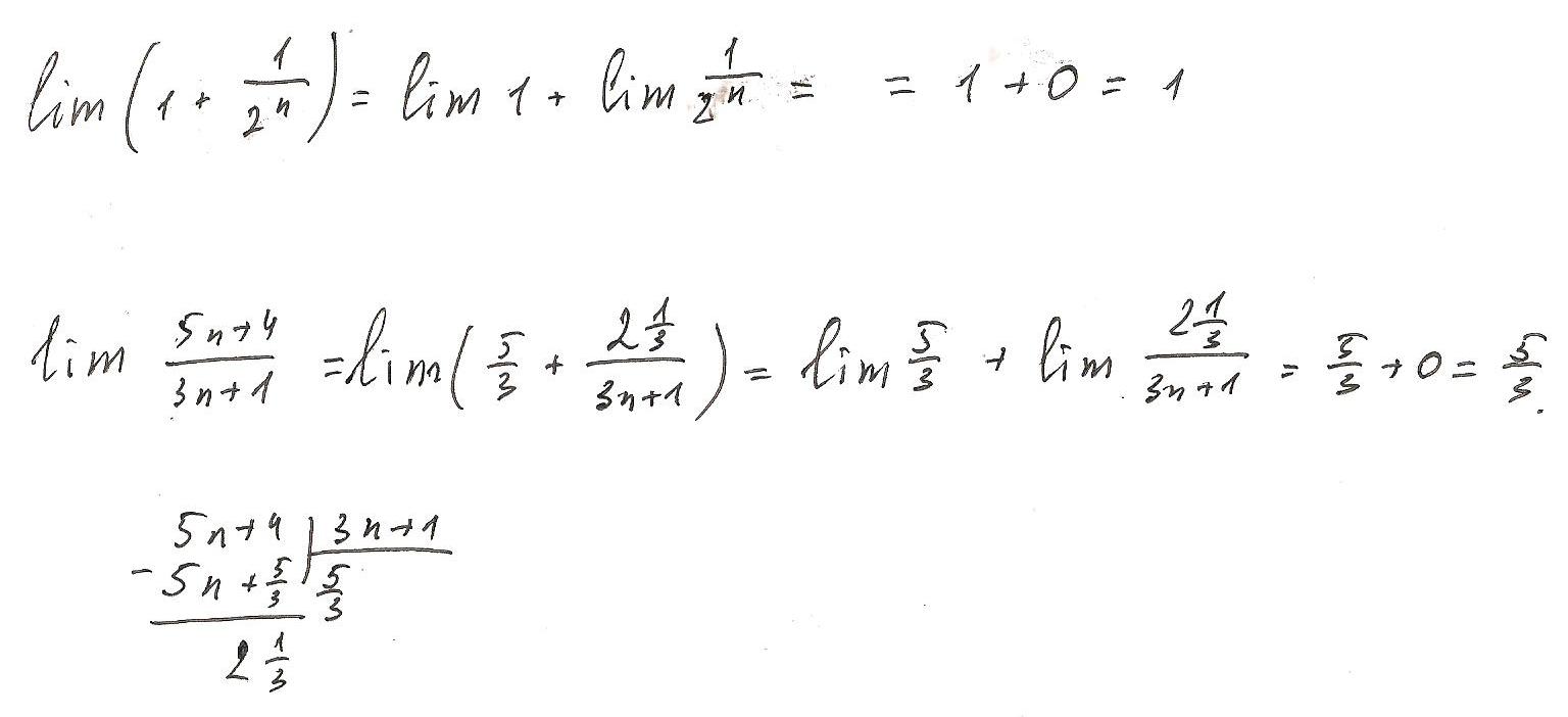
Вычислите предел:

а) lim (1+12^n) б) lim (5n+4)/(3n+1)

 

 

Ответы

Ответ дал: Artem112
0

надеюсь бует понятно....

Приложения:
Вас заинтересует