• Предмет: Математика
  • Автор: мпкс1
  • Вопрос задан 10 лет назад

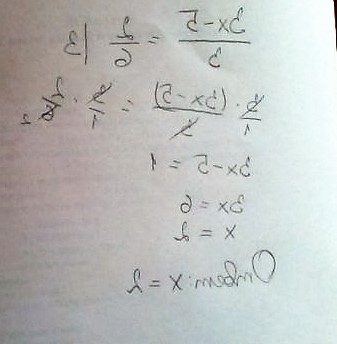
3x-5/3=2/6 пж пж пж ответте

Приложения:

Ответы

Ответ дал: AlEX1236
0
Сорян за зеркальное отражение(
Приложения:
Ответ дал: мпкс1
0
спс
Вас заинтересует