• Предмет: Алгебра
  • Автор: 07777
  • Вопрос задан 11 лет назад

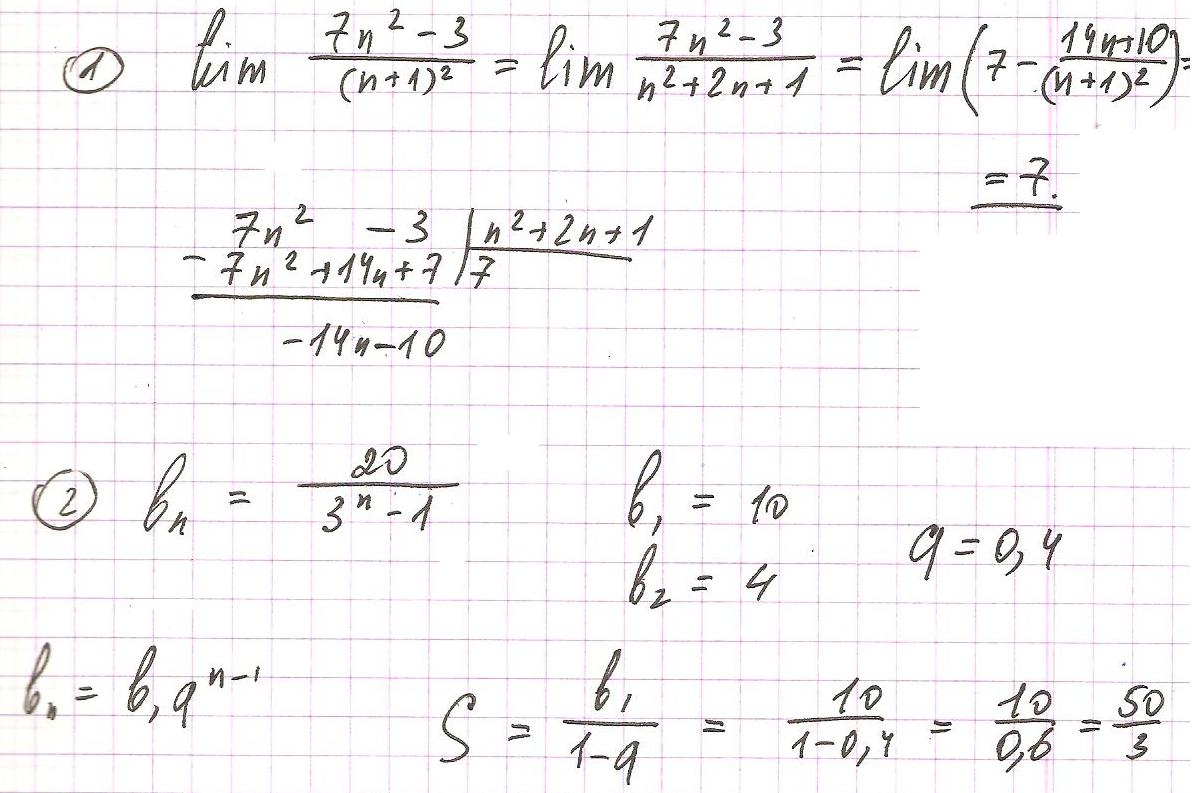
1) Вычислите lim 7n^2 - 3 / (n+1)^2

2)  Найдите сумму геометрической прогрессии (Bn), если Bn = 20 / 3^n-1

 

 

Ответы

Ответ дал: Artem112
0

надеюсь будет понятно....

Приложения:
Вас заинтересует