Ответы
Ответ дал:
0
Решая все постепенно получится именно так)
Приложения:

Ответ дал:
0
Компа нету
Ответ дал:
0
Напиши пожалуйста
Ответ дал:
0
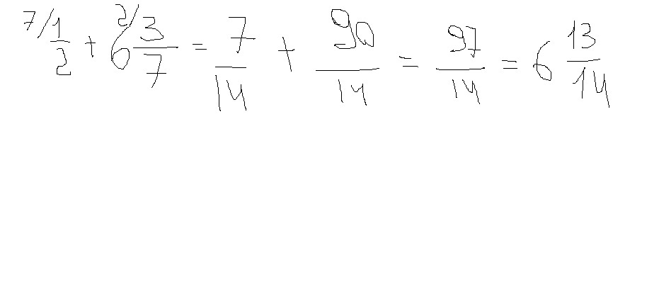
1/2 коэф(7)+6 3/7коэф(2)= 7/14+90/14=6целых 13/14
Ответ дал:
0
Что такое коэф?
Ответ дал:
0
Приводим к общему знаменателю, или коэф умножения
Вас заинтересует
2 года назад
7 лет назад
7 лет назад
10 лет назад
10 лет назад
10 лет назад
10 лет назад