Ответы
Ответ дал:
0
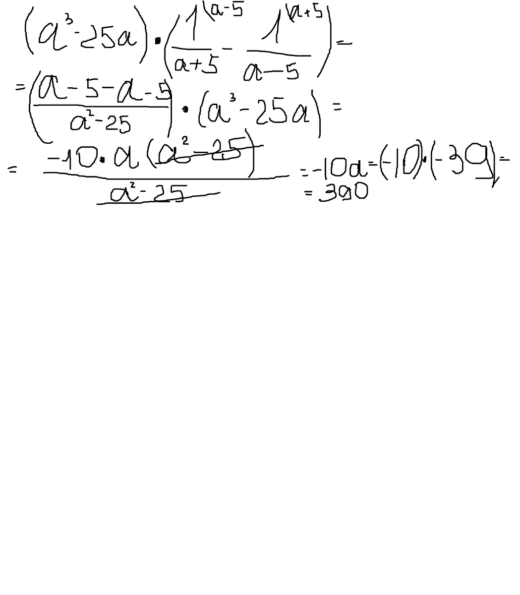
Кривовато, но попробуй разобрать)))
Приложения:

Ответ дал:
0
спасибо!!!
Ответ дал:
0
отметь лучшим, пожалуйста
Вас заинтересует
2 года назад
7 лет назад
10 лет назад