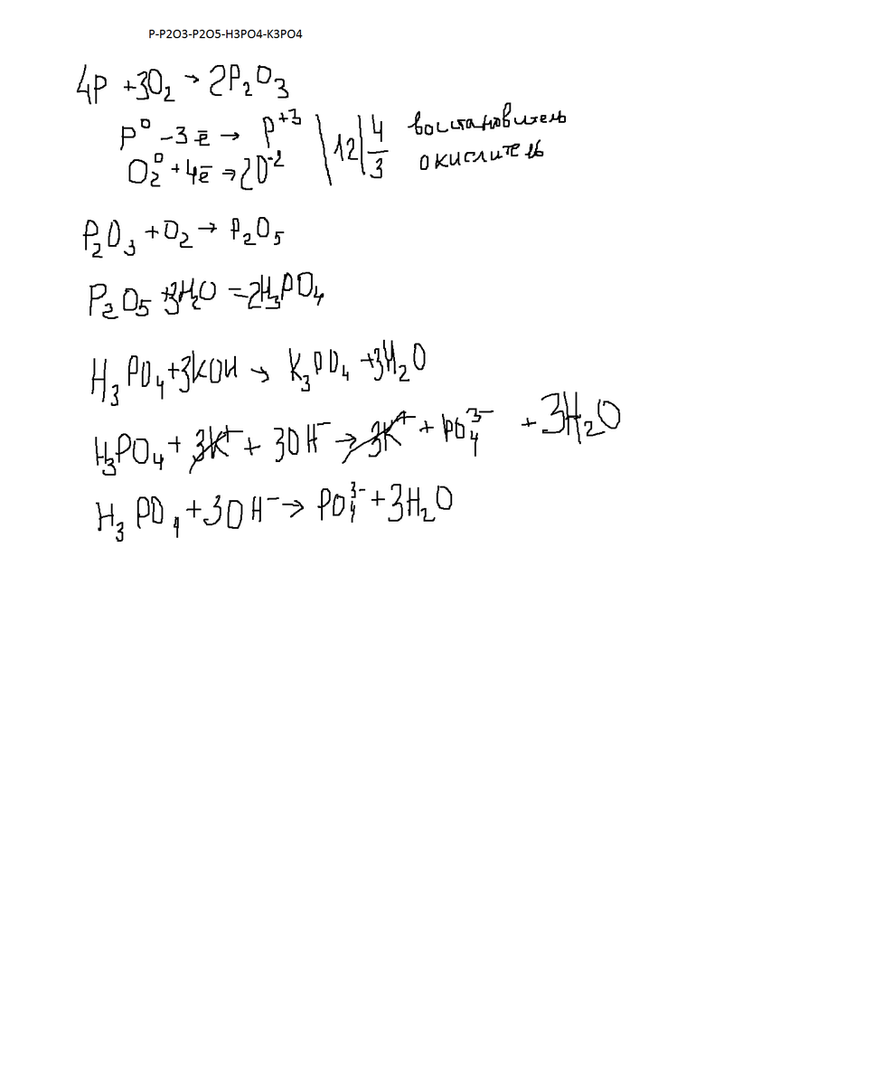
осуществить превращение ,написать в цепочке одно уравнение в ионном виде,а одно уравнение в окислительном восстановительным виде?P-P2O3-P2O5-H3PO4-K3PO4 Помогите пожайлуста!!!
Ответы
Ответ дал:
0
.......................................
Приложения:

Вас заинтересует
7 лет назад
7 лет назад
10 лет назад
10 лет назад
10 лет назад