• Предмет: Геометрия
  • Автор: ginina20141
  • Вопрос задан 10 лет назад

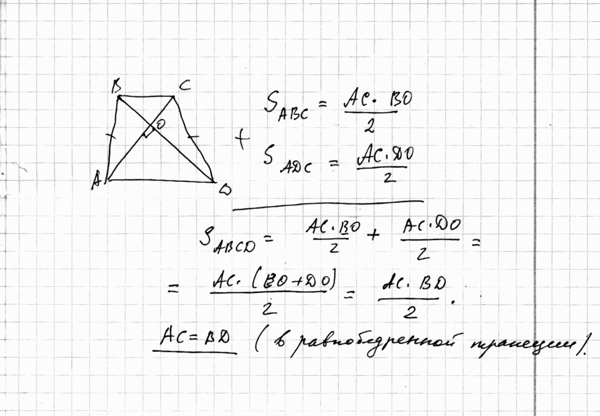
диагонали равнобедренной трапеции абсд перпендикулярны найдите площадь трапеции если диагональ ас=6 см

Ответы

Ответ дал: potapov19461
0
 Площадь равна половине произведения диагоналей 6*6/2=18 см². Доказательство на чертеже.
Приложения:
Вас заинтересует