• Предмет: Математика
  • Автор: Iaso98
  • Вопрос задан 10 лет назад

Помогите пожалуйста. Заранее спасибо

Приложения:

Ответы

Ответ дал: ZYY98
0
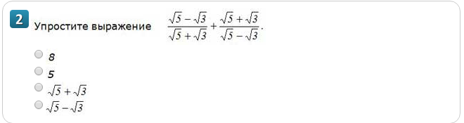
решение этого примера
Приложения:
Вас заинтересует