Бабушка развела гусей и кроликов, у которых вместе 25 голов и 54 лапки.Сколько гусей и кроликов у бабушки?
Ответы
Ответ дал:
0
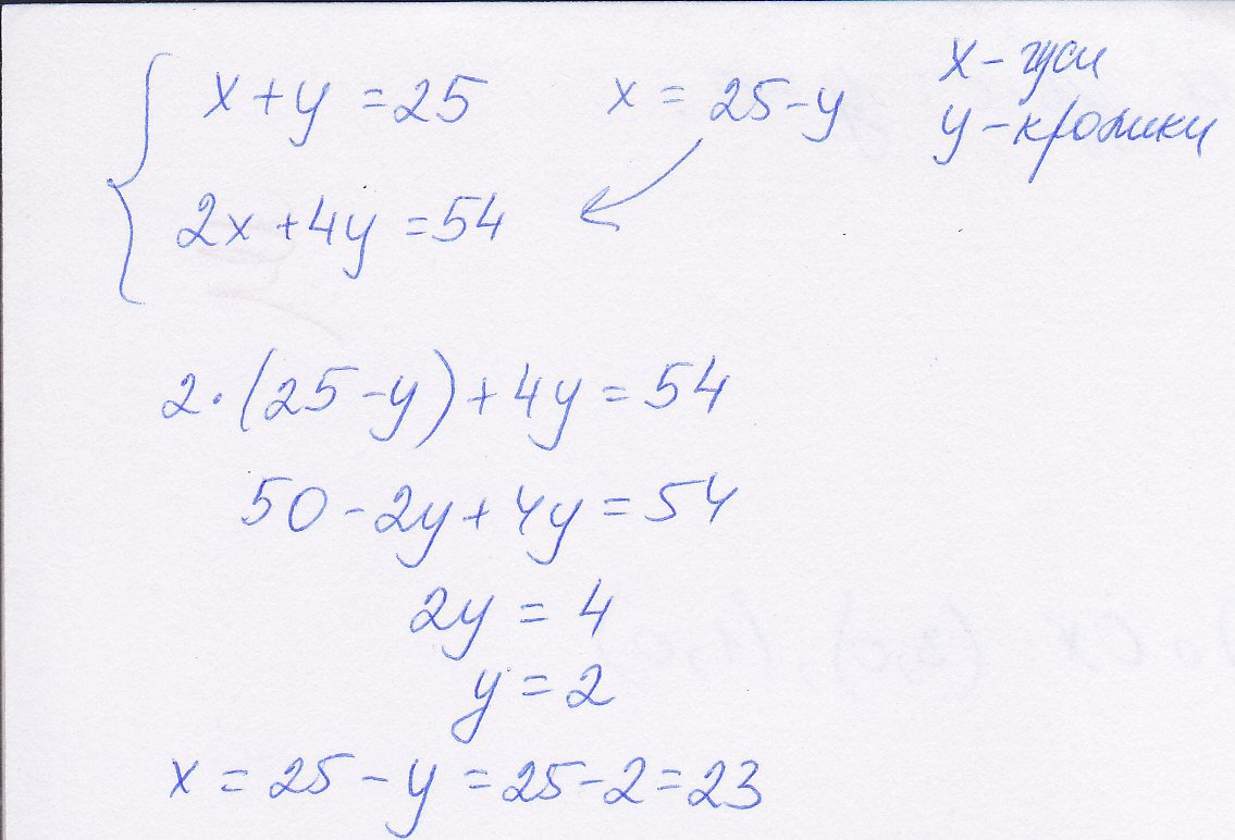
2 кролика и 23 гуся
x+y=25
2x+4y=54
решаем через систему
x+y=25
2x+4y=54
решаем через систему
Ответ дал:
0
ответ: 2 кролика, 23 гуся. Подробное решение внутри файла.
Приложения:

Вас заинтересует
2 года назад
2 года назад
7 лет назад
7 лет назад
10 лет назад
10 лет назад
10 лет назад