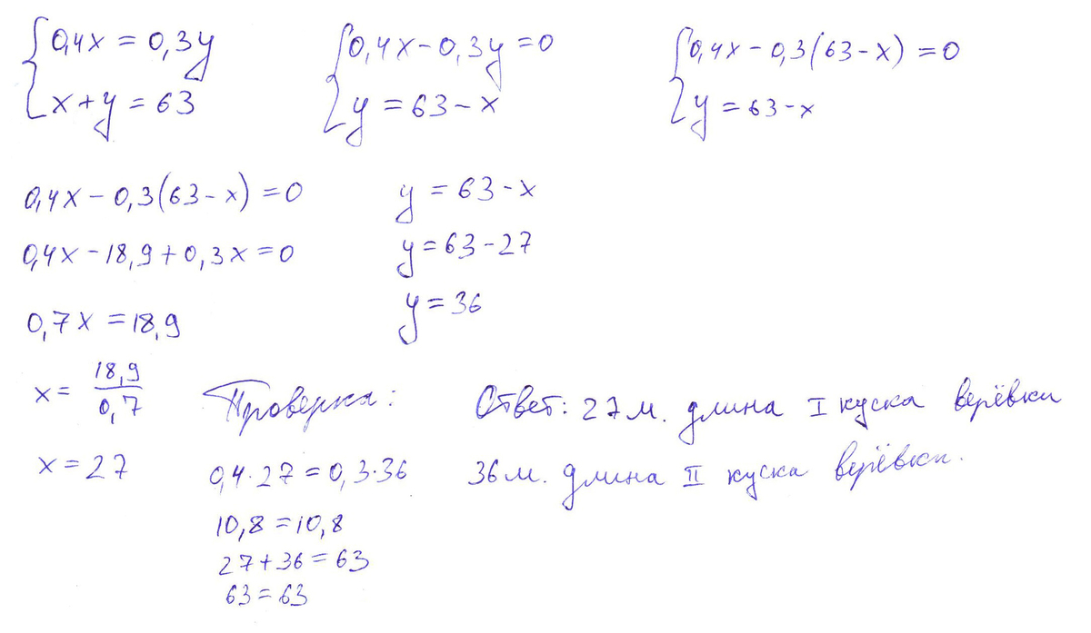
Веревку длиной 63 метров разрезали на 2 куска так, что 0,4 длины первого куска были равны 0,3 длины второго куска.Найдите длину каждого куска верёвки
Ответы
Ответ дал:
0
Решение на фото.....
Приложения:

Ответ дал:
0
спс
Ответ дал:
0
А можно так 0,3+0,4=0,7 .... 63:0,7=90 .... 90×0,3=27 .... 90×0,4=36 ....??????
Вас заинтересует
2 года назад
2 года назад
7 лет назад
10 лет назад
10 лет назад
10 лет назад