Ответы
Ответ дал:
0
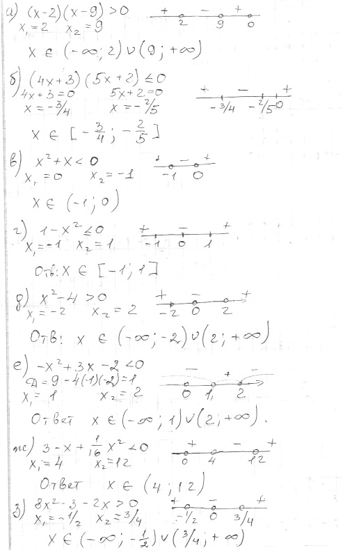
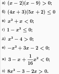
X^2-9x-2x+18>0
X^2-11x+18>0
Д=121-72=49
Х1=9
Х2=2
Хпринадлежит(-беспонечеости;2)(9;+бесконечности)
X^2-11x+18>0
Д=121-72=49
Х1=9
Х2=2
Хпринадлежит(-беспонечеости;2)(9;+бесконечности)
Ответ дал:
0
надеюсь, мой ответ вас устроит (решение во вложении)
Приложения:

Вас заинтересует
8 лет назад
8 лет назад
10 лет назад
10 лет назад
10 лет назад