Ответы
Ответ дал:
0
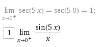
sec(5*0)=sec(0)=1 секанс угла 0 градусов равен 1
секанс = 1/косинус
lim(sin(5x)/x) =5*lim(sin(5x)/(5x)) = 5
секанс = 1/косинус
lim(sin(5x)/x) =5*lim(sin(5x)/(5x)) = 5
Вас заинтересует
3 года назад
3 года назад
8 лет назад
8 лет назад
10 лет назад
11 лет назад
11 лет назад